摘要:本文對雙酚A型環氧乙烯基酯樹脂及各種纖維增強層合板的耐堿性進行了比較。
關鍵詞:乙烯基酯樹脂;耐堿性;纖維層合板
1、前言
由丙烯酸(或甲基丙烯酸)與環氧樹脂進行開環酯化反應而得到的產物稱之為乙烯基酯樹脂,其工藝性能和不飽和聚酯樹脂相似,化學結構又和環氧樹脂相近,并且由于乙烯基酯樹脂較通用型不飽和樹脂的酯鍵含量為低,故具優良的力學性能和耐腐蝕性能,目前正作為一種性能優良的耐腐蝕樹脂在化工防腐蝕設備和工程中得到廣泛應用,包括氯堿行業中。在氯堿行業中的大量介質是氫氧化鈉介質如電解液總管等,構成電解液的腐蝕介質主要是氫氧化鈉、次氯酸鈉和食鹽等,目前國內大多數廠家采用FRP管道形式,那么其中耐腐蝕層大量采用雙酚A型乙烯基酯樹脂,因此樹脂耐腐蝕性能的好差直接關系到設備的耐腐蝕性能以及使用壽命。但由于在合成乙烯基酯樹脂過程中采用的原料及合成方法的不同,樹脂的耐腐蝕性能差別甚大,以至在實際使用中,由于選用的基體樹脂或增強材料的不適當而導致防腐蝕的失效。因此,對乙烯基酯樹脂及樹脂為基材的復合材料的耐蝕性進行評價是必需的。其中對乙烯基酯樹脂材料的耐堿性試驗評價是一種快速而有效的方法。本文就乙烯基酯樹脂和纖維增強材料掛片在靜態條件下的耐堿性進行了實驗,其結果對于防腐蝕玻璃鋼制作或其它防腐蝕工程處理中的選材具有指導作用。
2、試驗
2.1原材料準備
試驗用的一般用品均自江蘇富麗化工集團公司,如固化體系均是江蘇富麗化工集團公司出產的甲乙酮和鈷液,其它材料如下:
2.1.1乙烯基酯樹脂
選取了幾個典型品種:
1號樹脂——進口的標準雙酚A型環氧乙烯基酯樹脂;
2號樹脂——富晨公司的854標準雙酚A型環氧乙烯基酯樹脂;
3號樹脂——異氰酸酯改性的丙烯酸雙酚A型環氧乙烯基酯樹脂;
4號樹脂——富馬酸改性的甲基丙烯酸雙酚A型環氧乙烯基酯樹脂。
2.1.2增強材料
糊制復合材料層合板用的玻璃纖維制品均二五三廠產的,分別是WM50的表面氈和EWR400-90的C-玻纖布;有機纖維采用上?;鹁婀I用布廠的有機纖維布,分別是116晶格布(絳綸)、維綸295-105、錦綸601。
2.2試驗條件
2.2.1 樹脂澆鑄體耐堿性的試驗方法:
按不飽和聚酯樹脂澆鑄體耐堿性測定方法(GB7194-87)進行,樹脂澆鑄體的尺寸為Φ10mm×20mm,過氧化甲乙酮用量為2%,奈酸鈷用量為4%,固化后的試樣在室溫下放置24小時,并經后固化處理,后固化條件為80℃和100℃各2小時。浸泡溫度為100℃,介質為10%的氫氧化鈉溶液,試驗期齡選取10h、50h、100h,分別考察浸泡前后的試件外觀、重量和巴氏硬度變化。
2.2.2玻璃纖維增強層合板的耐堿性試驗方法:
按玻璃纖維增強熱固性塑料耐化學藥品性能試驗方法(GB 3857-87)進行,采用C-玻璃纖維增強材料,玻璃鋼掛片的尺寸為80×15×3.2mm。鋪層結構為2層表面氈+8層玻纖布+2層表面氈,試樣的外側用純樹脂封邊,并經80℃和100℃各2小時的后固化處理。試樣在80℃的10%的氫氧化鈉溶液中浸泡7天、14天和28天后,分別考察浸泡前后的試件外觀、巴氏硬度和彎曲強度變化。
2.2.3有機纖維增強層合板耐堿性的試驗方法:
試驗參照玻璃纖維增強熱固性塑料耐化學藥品性能試驗方法(GB 3857-87)進行,掛片采用有機纖維與玻璃纖維共同增強,掛片的尺寸為80×15×3.2mm。鋪層結構為4層有機纖維布+6層玻纖布+4層有機纖維布,試樣的外側用純樹脂封邊后,并經80℃和100℃各2小時的后固化處理。試驗溫度為80℃,介質為10%的氫氧化鈉溶液,試驗期齡為7天、14天和28天,分別考察浸泡前后的試件外觀、巴氏硬度和彎曲強度變化。
表3.1 乙烯基酯樹脂澆鑄體的100℃耐堿性比較
|
期齡 |
樹脂 |
重量變化率(%) |
硬度保留率(%) |
試樣外觀 |
|
10h |
1號 |
+0.15 |
91.4 |
不發粘、有光澤 |
|
2號 |
+0.14 |
91.3 |
不發粘、有光澤 |
|
|
3號 |
+0.16 |
84.7 |
不發粘、有光澤 |
|
|
4號 |
+0.20 |
85.2 |
不發粘、有光澤 |
|
|
50h |
1號 |
+0.44 |
80.6 |
不發粘、有光澤 |
|
2號 |
+0.43 |
80.1 |
不發粘、有光澤 |
|
|
3號 |
-0.50 |
69.7 |
表面有乳化現象 |
|
|
4號 |
-0.30 |
70.8 |
表面有乳化現象 |
|
|
100h |
1號 |
+0.16 |
74.9 |
不發粘、有光澤 |
|
2號 |
+0.17 |
74.6 |
不發粘、有光澤 |
|
|
3號 |
- |
- |
- |
|
|
4號 |
- |
- |
- |
表3.2 玻璃鋼掛片的80℃耐堿性比較
|
期齡 |
樹脂 |
硬度保留率(%) |
彎曲強度保留率(%) |
試樣外觀 |
|
7d |
1號 |
86.5 |
82 |
表面略有乳化 |
|
2號 |
86.9 |
81 |
表面略有乳化 |
|
|
3號 |
70 |
60 |
表面乳化 |
|
|
4號 |
68 |
54 |
表面乳化 |
|
|
14d |
1號 |
78 |
75 |
表面乳化 |
|
2號 |
77 |
76 |
表面乳化 |
|
|
3號 |
61 |
40 |
表面發粘、乳化 |
|
|
4號 |
58 |
35 |
表面乳化、發粘 |
|
|
28d |
1號 |
65 |
60 |
表面發粘 |
|
2號 |
67 |
61 |
表面發粘 |
|
|
3號 |
48 |
28 |
乳化嚴重 |
|
|
4號 |
42 |
20 |
乳化嚴重 |
3、試驗結果
3.1樹脂澆鑄體的耐堿性比較:其中3號樹脂和4號樹脂經50小時浸泡后,樹脂表面有乳化現象,因此100小時的試驗對這兩種樹脂不適用。見表3.1。
3.2玻璃纖維增強層合板耐堿性試驗:見表3.2。由于掛片的外側采用純樹脂封邊,在長期的浸泡中,可能會出現封邊樹脂脫落現象,因此不把重量變化作為考察項目。
3.3有機纖維增強復合材料層合板的耐堿性比較:在該試驗中選取耐堿性較好的2號乙烯基酯樹脂,選用不同的有機纖維與C-玻纖復合糊制的層合板,同樣不考察重量變化率,見表3.3。
表3.3 有機纖維增強掛片的耐堿性比較
|
期齡 |
項目 |
絳綸 |
維綸 |
錦綸 |
|
7d |
硬度保留率 (%) |
87 |
92 |
95 |
|
彎曲強度保留率(%) |
90 |
95 |
100 |
|
|
試樣外觀 |
有光澤 |
有光澤 |
有光澤 |
|
|
14d |
硬度保留率 (%) |
76 |
84 |
84 |
|
彎曲強度保留率(%) |
80 |
87 |
97 |
|
|
試樣外觀 |
略有乳化 |
有光澤 |
有光澤 |
|
|
28d |
硬度保留率 (%) |
63 |
75 |
80 |
|
彎曲強度保留率(%) |
61 |
81 |
95 |
|
|
試樣外觀 |
乳化 |
略有乳化 |
有光澤 |
4、討論
4.1 乙烯基酯基體樹脂耐堿性的討論
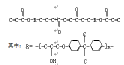
從表3.1中可以得知,1號樹脂和2號樹脂(854樹脂)的耐堿性相近,而3號樹脂和4號樹脂的耐堿性略差一點,這一點可以從基體樹脂結構上分析:1號樹脂與2號樹脂一樣,屬于甲基丙烯酸與雙酚A型環氧樹脂作用而成的一種標準環氧乙烯基酯樹脂;3號樹脂是異氰酸酯改性的丙烯酸雙酚A型環氧乙烯基酯樹脂,而4號樹脂是在富馬酸對雙酚A環氧擴鏈的基礎上再與甲基丙烯酸作用而成。有關化學結構見圖4.1。大家知道,樹脂澆鑄體的耐堿性好壞主要與樹脂固化后的交聯密度高低、酯鍵含量多少和酯鍵的保護程度有關。若采用富馬酸改性,它在提高樹脂固化交聯程度的同時,酯鍵的含量也較標準型乙烯基樹脂高40-50%,因此其耐堿性是兩個因素作用的綜合結果;若采用丙烯酸合成,那樹酯中的端基處缺乏甲基對酯基的保護,而甲基的位阻作用可以較有效的延緩樹脂結構中酯基的水解。
![]() |
1號、2號樹脂的結構

3號樹脂的化學結構

4號樹脂的化學結構
圖 4 .1 幾種乙烯基樹脂的化學結構圖
1號和2號樹脂由于酯鍵含量相對較低,又加上甲基對酯基的保護作用,因此樹脂的耐堿性比較好;3號樹脂中雖缺乏甲基對酯鍵的保護作用,但由于采用異氰酸酯改性,提高了樹脂固化后的交聯度,因此改性后的3號樹脂耐蝕性能總體上也是不錯的;4號樹脂是我國特色產品,較好地利用了富馬酸的低成本優勢,但從真正意義上說,它不屬于乙烯基酯樹脂,而是乙烯基酯樹脂與雙酚A不飽和聚酯樹脂中的一個過渡品種。4號樹脂的耐堿性是高交聯密度與高酯鍵含量的綜合結果,4號樹脂的耐堿性能總體上不錯,但劣于1號樹脂或2號樹脂。
4.2 玻纖增強玻璃鋼掛片的耐堿性討論
從表3.1中可以看出:純樹脂澆鑄體的耐蝕性雖有差別,但均是比較良好,而從表3.2中的玻璃鋼掛片經堿液浸泡后的腐蝕情況總體上均較差,這與選用的增強材料是玻璃纖維有關,因為C-玻璃纖維耐堿性差。但不同掛片的耐堿性差別還是比較明顯的。其中1號和2號樹脂掛片有乳化現象;而3號樹脂與4號樹脂的掛片的力學強度下降顯著,但3號樹脂掛片略優于4號樹脂,這些現象可以從腐蝕的機理上得到解釋。
從宏觀上,各種化學介質對玻璃鋼的腐蝕大致有三種:(1)介質首先先浸入玻璃鋼間隙、氣孔等缺陷中;(2)進而滲透到層間,引起玻璃鋼的溶脹;(3)浸蝕樹脂表面,引起樹脂與纖維的脫落。玻璃鋼在介質中的彎曲強度變化率實際上就是介質浸入、滲透和浸蝕的綜合結果。而樹脂基體與玻璃纖維界面的性能對玻璃鋼耐蝕性影響較大,較好的界面浸潤性可以充分保證樹脂與玻纖的良好結合,從而表現出玻璃鋼的耐堿性能相對較好。
從結構上分析:玻璃鋼是一種復合材料,樹脂粘結玻璃纖維使其成為一體。纖維起“骨架”作用。在玻璃鋼成型過程中,樹脂的各不飽和官能團發生反應、交聯最后達到固化。但固化后的乙烯基酯樹脂仍有酯鍵,這些酯基的性能和數量直接影響樹脂的堿性能,因為酯鍵在堿液中易受到水解破壞。乙烯基酯樹脂的酯鍵水解難易程度直接影響玻璃鋼制品的耐堿性能。
用1號和2號樹脂制作的玻璃鋼掛片,由于樹酯基體的酯基的含量比較低,耐堿性較好,另外樹脂中較高的羥基含量保證了樹脂與玻纖良好的界面結合,從而延緩了腐蝕介質對玻璃鋼的滲透過程,保證了玻璃鋼掛片有較好耐堿性;3號樹脂的耐堿性相對較差,經堿液浸泡,基體樹脂水解后,導致腐蝕介質滲透到結構內部,使起增強作用的玻纖被腐蝕,力學性能下降,但由于采用TDI改性,提高了樹脂中的分子極性,改善了與玻纖的浸潤性,較好的界面結合性能延緩了腐蝕速度,因此樹脂基體的耐堿性雖然略差一點,但玻璃鋼掛片的耐堿性相對4號樹脂有所提高;耐堿性相對較弱的4號樹脂經堿液腐蝕后,使玻璃鋼結構中的玻纖較早受破壞,導致結構的力學性能的下降明顯,另外由于不飽和雙鍵含量較高,以致在樹脂基體充分固化后產生的收縮比較大,收縮內應力易導致在玻璃鋼中產生不易覺察的細微“裂紋”,包括在與玻纖結合的界面處,這些裂紋的存在容易使堿液滲透到玻璃鋼結構內部,因此4號樹脂制作的玻璃鋼掛片的耐堿性在4種試驗掛片中最次。
因此,為了提高乙烯基酯樹脂玻璃鋼的耐堿性能,必須在選用耐堿性好的樹脂基體的同時,同樣應選用耐堿性較好的其它增強材料。但同時注意,樹脂基體與增強材料的良好結合性對提高耐堿性也是比較重要的。
4.3 有機纖維增強復合材料的耐堿性比較
在防腐蝕玻璃鋼制作中,由于腐蝕介質的千差萬別和玻璃纖維本身的特點,例如不耐氫氟酸和堿,使玻璃鋼在防腐蝕領域中的使用范圍受到了一定的限制。有機纖維與玻璃纖維相比具有較好的耐化學腐蝕性能,特別是在耐水、耐氫氟酸和耐堿性方面有其獨到之處。但樹脂基有機纖維復合材料的缺點是力學強度較玻璃纖維差,因此我們試驗中兼顧兩者的優點,混合使用玻璃纖維和有機纖維制作樹脂基復合材料,選擇了幾種有機纖維和耐堿性能良好的854標準雙酚A型環氧乙烯基酯樹脂糊制成層合板進行耐堿性試驗。
由表3.3中的數據可以看出:在80℃條件下,絳綸不能達到耐堿性要求;維綸的耐堿性尚可;錦綸的的耐堿性良好。這是因為絳綸的化學組成是聚酯纖維,含有大量的酯鍵,在80℃堿液作用下易水解;維綸的化學構成是聚乙烯醇縮甲醛,常溫下耐堿性良好,但耐熱水性不好;而錦綸的化學構成為聚酰胺,不含酯鍵等易水解的基團,能耐堿液介質的作用。
綜合以上不同的樹脂基有機纖維的耐堿性比較,可以得出:絳綸不能適用于耐堿性場合,維綸纖維可使用于耐堿,但高溫使用情況下不推薦;而錦綸適宜于耐堿性場合使用,包括在80℃的溫度條件下。
5、結論
綜合以上的試驗結果得出:為了提高纖維增強復合材料的耐堿性,一是選擇耐堿性較好并能與纖維浸潤性良好的乙烯基樹脂;二是選擇錦綸等耐堿性較好的有機纖維;三為了提高有機纖維增強復合材料的強度,建議與玻璃纖維復合使用以提高強度。












魯ICP備2021047099號