基于VARTM的碳纖維單向與三維編織混雜織物樹脂灌注工藝

發布日期:2024-05-09 作者:迎燦 1 ,張聯合 1 ,崔健 1 ,謝金路 1 ,王曉明 1 ,任浩 1 ,張健榜 2 ,查一斌 瀏覽次數:
89
核心提示:此文章轉載自 工程塑料應用的文章《基于VARTM的碳纖維單向與三維編織混雜織物樹脂灌注工藝》作者:戶迎燦 1 ,張聯合 1 ,崔健 1 ,謝金路 1 ,王曉明 1 ,任浩 1 ,張健榜 2 ,查一斌 3 ,秦成 2 ,張輝 2 圖片 ,倪宇峰 1。(1. 中車青島四方機車車輛股份有限公司,山東青島 266111; 2. 東華大學材料科學與工程學院纖維材料改性國家重點實驗室,上海 201620; 3. 東華大學機械工程學院,上海 201620 )
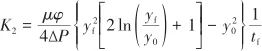
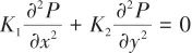
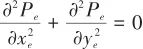
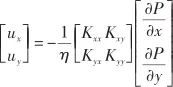
碳纖維增強樹脂基復合材料(CFRP)憑借比強度和比模量高、耐疲勞性好、可設計性強等優勢,在地鐵列車減重提速方面效果顯著。轉向架作為地鐵關鍵承力結構之一,主要用以控制、平衡軌道上的總質量,同時減少軌道磨損,但傳統鋼質轉向架約占列車總重的37%[1],采用CFRP對其結構進行輕量化設計,不僅可以有效減輕列車的結構質量,還可以顯著提高車輛的安全性能和使用壽命。對于地鐵轉向架側梁這類大型復雜形狀結的構件,需要對局部典型結構件進行試制并對樹脂灌注過程進行分析。以往在試制過程中通常采用人工試錯法,不僅效率較低,而且造成了生產成本的增加。數值模擬的快速發展,逐漸成為對大型復雜結構件試制的主要研究手段,不僅可以對各種制件進行樹脂灌注模擬,對過程進行可視化,還可以為實際生產加工提供一定的指導[2]。20世紀90年代,已經研究并開發了樹脂傳遞模塑(RTM)成型工藝樹脂灌注過程的模擬技術[3-4]。其中包括具有規則邊界的二維幾何體的有限差分法、考慮瞬態效應的有限元技術和有限元/控制體技術。有限元/控制體一致性技術使用有限元方法求解壓力場的控制方程,并使用控制體積方案跟蹤樹脂流動前沿的位置,研究表明,采用有限元/控制體技術非常適合樹脂灌注充模時的數值模擬,目前已被確立為RTM充模模擬商業軟件的標準[5-6]。Kim等[7]提出了一種預測剪切變形機織物滲透性的解析模型,利用PAM-FORM和PAM-RTM軟件對U型復合材料結構的真空輔助樹脂傳遞模塑(VARTM)成型過程進行了仿真,發現模擬與實驗制備的樹脂填充時間和流動前沿較為匹配。Rodrigues等[8]利用PAM-RTM軟件研究不同注射壓力下CaCO3的加入對樹脂浸潤纖維預制體的影響,結果表明樹脂流動前沿、充填時間、充填壓力等參數數值計算結果與實驗數據吻合良好。高猛等[9]通過PAM-RTM軟件對復合材料電池箱上蓋板的RTM樹脂充填過程進行模擬,發現樹脂充模時間與樹脂黏度、纖維體積含量、壓縮速度相關。Grössing等[10]的研究表明PAM-RTM軟件可用于預測樹脂灌注過程中流動前沿隨時間變化趨勢以及結構件內部的干區氣泡等缺陷。三維編織碳纖維織物內部呈相互交織的空間網狀結構,具備優異的吸能特性。但受到編織角大小和軸向紗線數量的限制,復合材料軸向性能較低,無法滿足一些對軸向承載性要求較高的復合材料結構件的應用要求。而單向碳纖維具備優異的軸向性能,將三維編織與單向碳纖維混雜增強不僅可以實現優勢互補,還可以減少織物不同滲透率對復合材料灌注成型過程的影響。因此,為驗證單向和三維編織混雜織物增強環氧樹脂復合材料的成型工藝性,分析樹脂的流動規律,基于以上研究,筆者對側梁典型結構復合材料方形管進行縮比建模,利用PAM-RTM軟件對方管進行樹脂灌注模擬并與VARTM工藝制備的方管進行對比分析。VARTM是RTM的衍生工藝,采用單側模具的形式,可以降低模具的使用成本,其主要流程為:先將碳纖維增強材料在底部模具中鋪設,然后在真空袋下覆蓋和密封,空氣從空腔中抽出,依靠大氣壓力將樹脂注入碳纖維增強材料。采用VARTM工藝制備得到的單向和三維編織混雜織物復合材料方管,其產品質量主要取決于樹脂對單向和三維編織混雜增強織物的浸潤程度,而且單向織物和三維編織織物的結構不同,導致樹脂對兩種織物的浸潤性不盡相同。采用數值模擬的方法可以將VARTM中的樹脂灌注過程可視化,通過建立不同的模型還可以觀察到每層鋪層樹脂的浸潤程度,預測整個VARTM中樹脂灌注過程的灌注時間以及灌注質量[11]。通過攝像機記錄單向織物滲透率(KU)測定過程中的樹脂流動前鋒位置,每隔5 s采集一次主/輔滲透率方向t時刻樹脂流動前鋒位置,由于初始時刻二甲基硅油測試液流動前鋒并不明顯,因此從10 s開始記錄t時刻樹脂充模前鋒位置,x方向樹脂充模前鋒記為rUxe,y方向樹脂充模前鋒記為rUye,具體結果見表1。
表1 單向織物主/輔滲透率方向t時刻樹脂充模前鋒位置Tab. 1 Resin filling front position at time t in the main/auxiliary permeability direction of unidirectional fabric
使用公式(18)對表1中單向織物主/輔滲透率方向t時刻rUxe和rUye處理,得到處理后t時刻樹脂充模前鋒位置TUx和TUy,并與灌注時間t進行線性擬合,結果如圖3所示。R2代表試驗數據與理論模型中擬合函數之間的吻合程度,R2越接近1,吻合程度越高。

圖3 單向織物主/輔滲透率方向樹脂充模前鋒位置擬合結果Fig. 3 Fitting results of resin filling front position in the main/auxiliary permeability direction of unidirectional fabric圖3結果表明,單向織物主滲透率(KUxx)擬合結果中RUx2為0.995 4,輔滲透率(KUyy)擬合結果中RUy2為0.993 3。隨后將主/輔滲透率方向擬合斜率代入公式(16)和公式(17)中,計算得到KUxx=1.12×10-10 m2,KUyy=4.70×10-11 m2。通過攝像機記錄三維編織織物滲透率測定全過程中的樹脂流動前鋒位置,由于測定初始時刻樹脂流動前鋒并不明顯,因此從12 s開始采集數據,此后每隔10 s記錄一次主/輔滲透率方向樹脂流動充模前鋒位置,x方向記為rFxe,y方向記為rFye,數據見表2。
表2 三維編織織物主/輔滲透率方向t時刻樹脂充模前鋒位置Tab. 2 Resin filling front position at time t in the main/auxiliary permeability direction of three-dimensional woven fabric

通過公式(18)對三維編織織物t時刻rFxe和rFye進行處理,得到t時刻樹脂充模前鋒位置TFx和TFy,與時間t進行線性擬合,結果如圖4所示。三維編織織物主滲透率(KFxx)樹脂充模前鋒位置的線性擬合結果中RFx2為0.998 1;輔滲透率(KFyy)樹脂充模前鋒位置的線性擬合結果中RFy2為0.996 7。將主/輔滲透率方向樹脂流動前鋒位置線性擬合的斜率代入公式(16)和公式(17)中,計算得到KFxx=8.03×10-11 m2和KFyy=5.54×10-11 m2。

圖4 三維編織織物主/輔滲透率方向樹脂充模前鋒位置擬合結果Fig. 4 Fitting results of resin filling front position in the main/auxiliary permeability direction of three-dimensional woven fabric從以上數據可以看出,單向織物主滲透率(KUxx)最大,三維編織織物主/輔滲透率(KFxx,KFyy)次之,單向織物輔滲透率(KUyy)最小。這主要是因為單向織物沿主滲透率方向取向度高,孔隙結構較為簡單,流體在單向織物主滲透率方向流動阻礙小,而三維編織織物內部纖維交織,取向均勻,主/輔滲透率值差異較小。
2.2 復合材料方管VARTM工藝樹脂灌注過程的模擬分析
在使用PAM-RTM軟件對復合材料方管進行VARTM工藝樹脂灌注過程仿真模擬時,根據實際工藝的工況條件,對仿真模擬參數進行合理預設。而仿真模擬參數中最重要的是碳纖維織物的滲透率以及灌注過程邊界條件的設置,由于PAM-RTM軟件的自身特點,可以根據碳纖維織物的主/輔滲透率和方向進行定義。仿真模擬過程采用恒壓注射,具體參數見表3。
表3 仿真模擬相關參數Tab. 3 Simulation related parameters
利用三維建模軟件CATIA建立復合材料方管模型,然后將建立完成的方管模型導入HyperMesh軟件中,對方管模型進行網格劃分,針對PAM-RTM軟件的特點,網格劃分為三角形網格,網格尺寸選擇5 mm,網格單元共10 096個;最后將方管模型導入到PAM-RTM軟件中,進行仿真模擬基本參數的設置和邊界條件設置,如圖5所示,表面藍色區域代表注膠口位置,即實際工況中的導流網區域,綠色區域代表出膠口位置。

圖5 復合材料方管邊界條件設置Fig. 5 Setting of boundary conditions for composite square tube根據復合材料方管實際鋪層要求,單向和三維編織織物交替鋪層,對建立的模型進行區域劃分,如圖6所示,Zone1,Zone11,Zone21,Zone31,Zone41分別對應單向織物、三維編織織物、單向織物、三維編織織物和單向織物。

圖6 復合材料方管鋪層區域劃分Fig. 6 Division of layered areas for composite square tube將相關模擬參數以及注膠口和出膠口的位置設置完成后,運行PAM-RTM軟件進行計算,得到復合材料方管填充時間分布結果和填充壓力分布結果,分別如圖7和圖8所示。

圖7 復合材料方管填充時間分布云圖Fig. 7 Cloud map of filling time distribution for composite square tube

圖8 復合材料方管填充壓力分布云圖Fig. 8 Cloud map of filling pressure distribution for composite square tube針對圖7復合材料方管填充時間分布結果進行分析,左側圖譜中不同顏色代表了不同的填充時間,從藍色到紅色,填充時間依次增加,同時也表示樹脂浸潤碳纖維增強織物的先后,填充時間分布結果顯示填充時間為3 897 s。在圖8復合材料方管填充壓力分布云圖中,左側圖譜中不同顏色代表了不同位置的壓力分布,從藍色到紅色,壓力分布呈上升趨勢,藍色表示真空壓力,紅色表示注射壓力。并且能夠觀察到,距離注膠口越近的區域壓力越大,而距離出膠口越近的區域越接近真空壓力。使用VARTM工藝制備單向和三維編織混雜織物復合材料方管的主要流程如圖9所示。

圖9 VARTM成型工藝流程Fig. 9 VARTM forming process
Wrap peel ply Laying diversion network Vacuum bag sealing
(1)選取合適的硬質泡沫作為方管的模具,另一側采用柔性真空帶包覆,而且采用單側模具可以降低生產成本。(2)在硬質泡沫表面按單向/三維編織/單向/三維編織/單向的鋪層設計進行鋪層,鋪層完成后再鋪一層脫模布,方便后續脫模,并在其中一個端口脫模布表面鋪導流介質,加快樹脂的流動,減少樹脂灌注時間。(3)在鋪有導流介質的一側接注膠口,另一側接出膠口,利用柔性真空袋將整套裝置密封,并在出膠口管道處依次連接樹脂收集器和真空泵。(4)檢查裝置的氣密性,若氣密性良好,方可進行灌注。在復合材料方管VARTM灌注成型中,通過大氣壓與真空壓力差將樹脂灌注到柔性真空袋內部的單向和三維編織混雜預成型體中,保持出膠口真空狀態,觀察樹脂流動前沿的位置,通過使用相機記錄整個樹脂的灌注過程,并與PAM-RTM軟件得到的樹脂灌注仿真模擬結果進行對比,結果如圖10所示。

圖10 基于VARTM的復合材料方管樹脂灌注過程仿真模擬和實際成型Fig. 10 Simulation and actual forming of resin infusion process in composite square tube based on VARTM從圖10的復合材料實際制備和仿真模擬結果對比中發現,在相同的灌注時間下,實際灌注中的樹脂流動前沿位置要慢于仿真模擬中的樹脂流動前沿位置,灌注時間為92 s時,由于時間較短,觀察不明顯,但從灌注2 124 s和模擬灌注結束3 897 s可以明顯看出實際灌注較慢,最終實際灌注所用時間為4 052 s,誤差約為3.8%,在合理的誤差范圍內[22]。而實際灌注的樹脂流動前沿相較于仿真模擬延后,可能是因為實際灌注的真空壓力并不能像仿真模擬保持絕對真空,也有可能是因為在織物鋪層時制件棱邊處織物發生變形導致三維編織織物編織角變化引起纖維取向變化,造成實際灌注時間較長。另外,從3 897 s的填充仿真模擬結果看出,模型完全被填充,沒有缺陷。圖11為復合材料方管的固化脫模。將完成灌注的復合材料方管置入烘箱中,設置固化程序進行加熱固化,固化完成后待自然降溫冷卻到室溫后方可脫模,將泡沫模具處理干凈后可得到復合材料方管。觀察發現,復合材料方管表面沒有產生明顯的缺陷,與仿真模擬得到的結果一致,說明仿真模擬對復合材料方管實際的樹脂灌注具有一定的指導性和可靠性。

圖11 復合材料方管固化脫模Fig. 11 Curing and demolding of composite square tubes
(a) Curing completed (b) Demoulding
(1)通過非飽和徑向流法測試得到了單向與三維編織織物的滲透率。結果表明,單向碳纖維各向異性,其樹脂流動前沿呈橢圓形,沿纖維軸向取向度高,滲透率最大;三維編織織物內部纖維取向均勻,其流動前沿趨向于圓形,主輔滲透率值差異較小且低于單向碳纖維軸向滲透率。(2)利用PAM-RTM軟件模擬了復合材料方形管狀結構灌注成型,并通過VARTM工藝制備了復合材料方管。仿真與實驗制備均無缺陷,灌注時間誤差為3.8%,表明該模型理論數據可用于分析驗證復合材料的VARTM成型工藝性。(3)模擬與實驗的誤差在于實際鋪層灌注過程中,真空度的差異以及方管預制件棱邊處織物發生變形引起的纖維取向變化,從而導致該處局部滲透率變小,樹脂浸潤緩慢。
[ 工藝技術搜索 ]
[ 加入收藏 ]
[ 告訴好友 ]
[ 打印本文 ]
[ 違規舉報 ]
[ 關閉窗口 ]