1前言
玻璃鋼由于輕質高強,能透過電磁波,廣泛應用于各類雷達天線罩。玻璃鋼天線罩用于水下,要求確保在較大水壓(4.5MPa)下不破壞,同時還需要滿足電性能和重量等方面的要求[1~4]。為此我們進行了理論分析、數值計算,并進行了產品水下壓力試驗。以下進行的理論分析及試驗總結可供今后有關產品設計時參考。
2 理論分析
2.1 無矩理論
按無矩理論,筒殼部分的軸向應力和周向應力按下式計算:
玻璃鋼由于輕質高強,能透過電磁波,廣泛應用于各類雷達天線罩。玻璃鋼天線罩用于水下,要求確保在較大水壓(4.5MPa)下不破壞,同時還需要滿足電性能和重量等方面的要求[1~4]。為此我們進行了理論分析、數值計算,并進行了產品水下壓力試驗。以下進行的理論分析及試驗總結可供今后有關產品設計時參考。
2 理論分析
2.1 無矩理論
按無矩理論,筒殼部分的軸向應力和周向應力按下式計算:

周向應力是軸向應力的2倍。當P=4.5MPa時,σ1=31.7MPa,σ2=63.4MPa。球殼部分的應力計算公式同式(1)。
2.2 有矩理論
2.2.1 球殼與筒殼連接處的最大應力計算
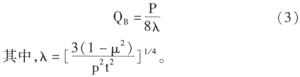
本罩按設計要求,球殼與筒殼厚度是相等的。根據有矩理論,對于等厚殼體,在球殼與筒殼連接處的附加彎矩接近于零,僅有附加剪力。附加剪力的計算公式為:

代入有關尺寸數值,對于P=4.5MPa時,QB=32.27N/mm。

由于此附加彎矩,球殼的最大應力為:
![]()
當P=4.5MPa時,σ=40.7MPa
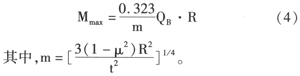
對于筒殼,當X=π/4λ處,產生最大附加變矩:
![]()
筒殼在離連接處X=π/4λ的應力為:
![]()
當P=4.5MPa時,σ1=40.7MPa,由此可見,連接處的最大應力比無矩理論的大28%左右。
2.2.2 根部附加應力計算
若天線罩根部為固支時,其附加彎矩和剪力為:

其中,D為彎曲剛度,D=Et3/12。當P=4.5MPa時,按此計算,在根部附近最大應力為軸向應力σ1=66MPa,周向應力σ2=105MPa。
2.2.3 穩定性計算
根據有矩理論,把天線罩當作整體,在均勻外壓作用下,對于本罩的結構尺寸,其臨界壓力按下式計算:
![]()
其中,D為筒殼直徑;L為筒殼長度。代λ上述各參數,計算得Pcr=7.82MPa











魯ICP備2021047099號