碳纖維復合材料中,纖維所占面積與觀察面積之比,稱為試樣的纖維體積分數。測定纖維體積分數的方法有顯微鏡法、化學消化法和電阻率法等。
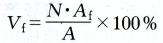
顯微鏡法 在復合材料上取與纖維軸向垂直的截面,并進行磨平拋光,用金相顯微鏡攝取兩張放大倍數不同的照片,在小倍數照片上測定觀察面積內的纖維根數,在大倍數照片上測定單根纖維的平均截面積。纖維所占截面積與觀察面積之比,即為試樣的纖維體積分數Vf:
![]()
式中N為觀察面積A(mm2)內的纖維根數;Af為單根纖維的平均截面積,mm2。
本方法適用于測定單向,正交及多向鋪層的纖維增強樹脂基、金屬基復合材料,但不適于織物增強的復合材料。
化學消化法樹脂基復合材料用強氧化劑在一定的溫度和時間下,使樹脂基復合材料試樣中樹脂基質完全分解而又不過分腐蝕纖維,采用的強氧化劑為95%~98%的濃硫酸,對環氧或聚酯樹脂消化溫度為220℃,對酚醛樹脂則為285℃。
金屬基復合材料用溶劑在一定的溫度和時間下使金屬基復合材料中金屬基質完全溶解,又不溶解或很少溶解纖維,對銅鐵等金屬基質,采用濃度65%的HNO3溶劑,對鋁等金屬基質采用濃度40%~80%NaOH溶劑,對鎂、鈦、銅、鐵等金屬基質采用濃度5%~10%HCl溶劑。
實驗時用一定量的純纖維作平行試驗。復合材料中基質含量為:

纖維體積分數Vf為:

若纖維被氧化或溶解的質量<0.5%,則纖維的損失可忽略不計,纖維體積分數Vf為:

式中W1為試樣初始質量;W2為基質氧化或溶解后殘余纖維的質量;W3為空白試驗中纖維的質量損失百分數;ρf,ρc分別為纖維和復合材料試樣的密度。
電阻率法該方法適用于單向纖維增強樹脂復合材料,纖維體積含量在30%~60%之間。要求纖維呈導電性能,如炭纖維、金屬纖維等,而基質是導電性差的環氧,不飽和聚酯等。復合材料中纖維的體積分數Vf:
![]()
式中ρc為平行于纖維方向的復合材料試樣的電阻率;ρf為純纖維的電阻率。











魯ICP備2021047099號