有機硅樹脂(Organic silicone resin)是一類由硅原子和氧原子交替連結組成骨架,不同的有機基團再與硅原子連結的聚合物的統稱[1]。有機硅樹脂具有較好的耐熱性,其清漆可耐溫度200~250℃,加入金屬粉、耐熱填料和玻璃料配制的涂料可耐溫300~700℃[2-4]。但有機硅樹脂作涂料用的主要缺點是需高溫(150~200℃)固化,且固化時間長;另外在高溫時防腐能力較差,對基材的附著力差,耐有機溶劑性差,溫度較高時漆膜的機械強度不好[5],從而限制了它的應用。因此,人們常利用其他樹脂對有機硅樹脂進行改性。近年來國內外有大量關于有機硅改性的文獻報道,用于改性有機硅的樹脂有:環氧樹脂、聚酯樹脂、聚氨酯樹脂、丙烯酸樹脂、醇酸樹脂等。
環氧改性有機硅樹脂是改性有機硅研究領域中較為重要的一個研究方向。環氧樹脂具有優良的粘接性能、力學性能、耐溶劑性以及成本低廉等優點,用環氧樹脂對有機硅進行改性,恰好可以彌補有機硅樹脂的缺點,尤其可以提高有機硅樹脂的附著力和有效降低有機硅樹脂的固化溫度[6]。環氧樹脂改性有機硅的方法主要有兩種,一種是物理共混法,另一種是化學改性法。化學改性主要是在聚硅氧烷鏈的末端或側鏈上引入烷氧基、羥基、氨基、羧基、巰基等活性基團,在催化劑作用下,環氧樹脂的環氧基及仲羥基與聚硅氧烷活性基團反應[7-11],生成嵌段、接枝或互穿網絡的共聚物,改善有機硅樹脂與環氧樹脂間的相容性,彌補兩種樹脂在性能上的某些不足,從而提高樹脂的綜合性能、拓展其應用領域。近年來采用化學共聚法以改善有機硅樹脂性能的文獻報道較多[12,13],但是有關環氧改性有機硅樹脂的綜述型文獻少見,本文將環氧樹脂化學改性有機硅樹脂歸納總結了4種反應類型:1)縮聚反應;2)環氧基的開環聚合反應;3)硅氫加成反應;4)引入環氧基的反應。并對該領域的近期研究成果進行了簡要的綜述,展望了該領域未來的發展方向。
1·縮聚反應
縮聚反應是指含羥基的環氧樹脂與聚硅氧烷通過脫醇、脫水、脫氯化氫等小分子進行縮合反應進行共聚,反應通式如下:

李剛等[14]采用有機硅中間體與γ-[(2,3)-環氧丙氧]丙基甲基二甲氧基硅烷共縮聚,制得了端環氧基有機硅樹脂。其反應方程式為:

在此反應中,僅有γ-[(2,3)-環氧丙氧]丙基甲基二甲氧基硅烷的甲氧基參與反應,γ-[(2,3)-環氧丙氧]丙基甲基二甲氧基硅烷的環氧基基本沒有變化。結果表明,這種端環氧基有機硅樹脂與普通雙酚A型環氧樹脂有很好的混溶性,解決了以往有機硅樹脂與環氧樹脂很難均一穩定混溶的問題,使得這種樹脂在中、低溫固化的雙組分糊狀膠中有廣泛的應用領域。
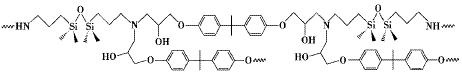
侯其德等[15]在制備一種鉆機剎車片用粘合劑的研究中,先用二苯基二氯硅烷和二甲基二氯硅烷合成帶羥基的有機硅樹脂,然后用環氧樹脂E20對其進行改性。由于環氧樹脂E20含有羥基能與合成的有機硅樹脂發生脫水的縮聚反應,從而兩種樹脂形成穩定的網絡結構。隨后,作者向改性樹脂體系中引入一種高分子彈性體聚乙烯醇縮丁醛,因彈性體中含有羥基,能和有機硅樹脂與環氧樹脂縮聚體中的羥基進一步進行縮聚反應形成立體網絡結構,從而提高了粘合劑的耐高溫性能和粘接強度。結果顯示,當環氧樹脂E20與有機硅樹脂兩者的質量比為60∶40時,室溫剪切強度可以達到22·5 MPa,300℃時的剪切強度達到8·8 MPa。另外,熱失重分析(TGA)顯示,粘合劑在400℃以前無任何熱分解現象,表明粘合劑可在400℃條件下長期使用。蘇倩倩等[16]利用聚甲基三乙氧基硅烷合成的有機硅樹脂與環氧樹脂E-44接枝共聚時也是通過脫醇和脫水的縮合方式,并且比較了物理改性和化學改性兩種方法,結果表明通過化學改性,固化物拉伸強度達58·3MPa,斷裂伸長率達11·65%,Tg達169·82℃50%的質量熱損失溫度達487℃。
黎艷等[17]用一氯三甲基硅烷(TMS)、二氯二甲基硅烷(DMS)或DMS與α,ω-二氯聚二甲基硅氧烷(DPS)的混合物改性雙酚A型環氧樹脂(EP),通過端基氯與環氧鏈上的羥基進行脫氯化氫反應生成大鍵能的Si—O鍵,不僅不消耗環氧基,并且還提高了樹脂固化物的交聯密度。結果表明,當用DMS進行改性時,樹脂固化物的沖擊強度達到20·2 kJ/m2,拉伸強度達67·04 MPa,斷裂伸長率達11·29%,Tg達167·98℃,分別比未改性時提高了9·4 kJ/m2、21·1 MPa、5·35%和32·56℃。而當用DMS和DPS混合改性時,除Tg和拉伸強度略有上升外,沖擊強度達到31·6kJ/m2,斷裂伸長率達81·68%,分別比純環氧提高了20·8 kJ/m2和75·64%。
2·開環反應
開環反應指環氧樹脂通過環氧基的開環反應與聚硅氧烷進行共聚,反應通式如下:
其中XH為OH、RNH2、RSH、RCOOH等基團。當XH代表的基團為OH時又稱為醚化反應,當XH代表的基團為RCOOH又稱為酯化反應。
Ahmad等[18]以雙酚A二縮水甘油醚與羥基封端的聚二甲基硅氧烷為原料,并以磷酸為催化劑,進行了開環加聚反應,反應方程式為:

研究結果表明,改性后的環氧有機硅樹脂以聚酰胺為固化劑的固化體系熱穩定性明顯增強,這種涂料沒有跡象顯示有浸出和相分離,甚至放置24 m后仍然顯示良好的相容性。另外,所制備的環氧改性有機硅涂料在酸性、鹽和有機溶劑,特別是在堿性環境中都顯示了高防腐性能。Yeh等[19]用雙酚A二縮水甘油醚(DGEBA)對1,3-二(3-氨丙基)-1,1,3,3-四甲基二硅氧烷進行改性,得到如下所示的產物:

此合成反應的一個特點是在反應前將納米有機粘土分散在環氧樹脂、硅氧烷以及固化劑的混合溶劑中,然后通過開環反應制得產品,該環氧改性有機樹脂-納米粘土復合材料顯示了優異的防腐蝕性能,產品對如氧氣、氮氣和水蒸氣等分子的滲透性低于未改性的環氧樹脂,改性樹脂還具有優異的低水分吸收性、溫和的玻璃化轉變溫度(Tg)以及較高的抗拉強度。
Kumar[20],Prabu等[21]用3-氨基丙基三乙氧基硅烷與環氧樹脂進行開環反應制得改性樹脂,結果顯示改性樹脂具有良好的相容性。
3·硅氫加成反應
帶雙鍵的環氧樹脂可以與含Si—H基的聚硅氧烷通過硅氫加成反應進行共聚,反應方程式為:
Ho等[22]利用端氫基聚二甲基硅氧烷與一種帶雙鍵的鄰甲酚醛環氧樹脂進行硅氫加成反應,制得了相容性良好的改性樹脂。結果表明改性后樹脂的彎曲模量和熱膨脹系數有所降低,減少了材料的內應力;而且硅樹脂中側基Si—H比端基Si—H對應力降低更有效,側基Si—H較多時,改性樹脂的耐熱性、耐沖擊性更好。
Ortiz等[23]在硅氫加成反應中用Wilkinson作催化劑催化合成出一種新型的有機硅-環氧單體,此單體能夠進行光聚合,具有較高的聚合速率,可作為光固化環氧樹脂的原料使用,亦可作為其他樹脂的光固化促進劑。
4·引入環氧基的反應
Tao等[24]用四氫苯酐和含氨基的四甲基二硅氧烷為原料,通過兩步法,合成了一種新型的含環族環氧化物的酰亞胺環硅氧烷。其合成方法如下:

作者分別用六氫苯酐和六氫-4-甲基鄰苯二甲酸酐為固化劑,固化后的改性樹脂的熱失重分析(TGA)表明,完全固化的改性樹脂在300℃以前無任何重量損失,在346~348℃之間,是緩慢分解區,當溫度上升到360℃時,熱分解率迅速增大。這種熱穩定性的提高可能是由于熱穩定的酰亞胺環和Si—O—Si骨架的存在。改性樹脂的抗折強度和彎曲模量分別達到63 ~ 88 MPa和2·52~3·35 GPa,拉伸強度和拉伸模量分別為31~36 MPa和1·21~1·46 GPa,介電常數和介電損耗因素分別為3·2~3·6和2·4~7·5×10-3,比市售ERL-4221環氧樹脂的介電常數和損耗因數要小。改性樹脂以HMPA和HHPA為固化劑的吸水率分別為0·48%和0·50%,而市售ERL-4221環氧樹脂以HMPA和HHPA為固化劑的吸水率分別為0·54%和0·55%,可見改性樹脂具有低吸水率,改性樹脂介電性能和低吸水率的改善是由于硅氧烷的低極性和疏水性所致。
5·結語與展望
本文簡述的4種環氧改性有機硅樹脂的方法中,前3種改性方法較為常見,其中又以縮聚反應最多。隨著人們對有機硅樹脂改性研究的不斷深入,改性的化學方法日益增多,改性后樹脂的綜合性能得到一定提高,但是在保證樹脂具有優良附著力前提條件下如何實現室溫固化仍然是需要解決的關鍵問題。開發含新官能團的有機硅樹脂,通過化學改性充分發揮二者的優良性能,降低生產成本,使環氧改性有機硅樹脂在實際工業生產中得到更廣泛應用,是今后發展的一個主要方面。










魯ICP備2021047099號