Cr(Ⅵ)作為一種重金屬離子,廣泛存在于冶金、電鍍、紡織、皮革和涂料等行業產生的廢水中,因此,有效去除廢水中的此類重金屬一直是環境保護領域關注的熱點問題之一[1]。腐殖酸是自然環境中廣泛存在的一類高分子有機物,總存儲量達萬億噸[2]。具有來源廣泛,價格低廉的特點,并且由于其分子結構的特點可與水中重金屬離子發生離子交換、絡合反應及表面吸附作用[3],但腐殖酸交換容量較低,遇水膨脹,強度不夠,易破碎,因此需添加一定量的粘合劑,使其成型造粒、增加強度,并改善其親水性能。由于自然界中的腐殖酸與泥土共同存在,國內外眾多研究者通常是把腐殖酸從泥土提取后再與粘合劑和骨架混合后固化造粒,工序繁多,并產生廢棄物[4]。本研究直接以褐煤副產物腐殖酸為原料,在保留原有泥土情況下,經堿化、磺化增加交換能力后,再和環氧樹脂反應,經過交聯固化后制得了環氧樹脂-腐殖酸復合材料,并探討了其對水中Cr(Ⅵ)的吸附性能。
1·實驗部分
1.1主要儀器及設備
分光光度計(721型),上海精密科學儀器有限公司;調速多用振蕩器(Ks型),常州國華儀器有限公司;數字酸度計(pHS-3C型),杭州東星儀器設備廠;干燥箱(101-1A型),寧波自動化儀表廠。
1.2主要原料及試劑
實驗所用腐殖酸由內蒙古霍林河煤礦提供;環氧樹脂E51和聚酰胺樹脂購自藍星新材料無錫樹脂廠;硫酸為分析純試劑,由國藥集團提供;磺化腐殖酸鈉,自制;2mg/L Cr(Ⅵ)溶液為模擬電鍍廢水(用優級純K2Cr2 O7加蒸餾水配制)。
1.3環氧樹脂-腐殖酸復合材料的制備
取一定量的環氧樹脂放入燒杯中,加入聚酰胺樹脂[m(聚酰胺樹脂)∶m(環氧樹脂)=1∶1]、50 mL石油醚,然后加入1g磺化腐殖酸鈉,放入烘箱12h后固化,用水洗滌至無色,干燥,研磨,過篩使樹脂的d≤0.25 mm。將樹脂浸泡于2.0 mol/L的乙酸鈣溶液中2.0 h以上,過濾,洗滌,烘干,即得環氧樹脂-腐殖酸復合材料。
1.4吸附實驗
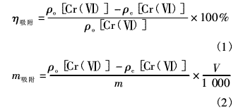
準確稱取制0.5 g環氧樹脂-腐殖酸復合材料于100 mL錐形瓶中,在20℃溫度下,加入2 mg/L六價鉻的模擬電鍍廢水50 mL搖勻后,用震蕩器振蕩3h后;靜置3 h取上清液,采用二苯基碳酰二肼分光光度法(GB7467-87)測定溶液中Cr(Ⅵ)的濃度,根據溶液中吸附前后Cr(Ⅵ)的濃度變化,按式(1)、(2)計算復合材料對Cr(Ⅵ)的吸附量和吸附效率。

式中:m吸附為吸附達平衡時單位質量復合材料吸附Cr(Ⅵ)的質量,mg/g;ρo[Cr(Ⅵ)]、ρe[Cr(Ⅵ)]分別為模擬廢水和吸附達平衡時Cr(Ⅵ)的質量濃度,mg/L;V為模擬廢水的體積,mL;m-環氧樹脂-腐殖酸復合材料用量,g;η吸附為吸附率。
1.5紅外光譜檢測
取制得的環氧樹脂-腐殖酸復合材料2 mg,加入200 mg的KBr在瑪瑙研缽中研磨至粒度不再變化為止,在100 kN的載荷下壓片,將制好的壓片在紅外光譜儀上進行掃描,掃描次數為64次,分辨率為2 A/cm。
2·結果與討論
2.1環氧樹脂的含量對m
吸附和η吸附的影響在pH為6.0,吸附時間2 h的條件下,考查了環氧樹脂的含量對Cr(Ⅵ)η吸附和m吸附的影響。實驗結果如圖1所示。隨著環氧樹脂含量的增加,環氧樹脂-腐殖酸復合材料對Cr(Ⅵ)的η吸附和m吸附先增加后降低,當w(環氧樹脂)為60%時,η吸附為76%,m吸附為0.155 2 mg/g,達到最大。這主要是因為環氧樹脂中環氧基團和磺化腐殖酸鈉中的酚羥基等發生了交聯反應,生成網狀大分子,增加了C-O-C等極性基團的比例,使復合材料和Cr(Ⅵ)的親和力增加,所以吸附率和吸附量隨著環氧樹脂含量的增加而上升,當w(環氧樹脂)大于60%時,環氧基團過量,所以吸附率反而下降,由此確定w(環氧樹脂)為60%。

2.2 pH對m吸附及η吸附的影響在w(環氧樹脂)為60%,吸附時間為2 h的條件下,考查了pH(用硫酸調節)對Cr(Ⅵ)η吸附和m吸附的影響。實驗結果示于圖2。由圖2可知,隨著pH的增高,環氧樹脂-腐殖酸復合材料的m吸附和η吸附也不斷增加。

2.3吸附時間對m吸附及η吸附的影響在w(環氧樹脂)為60%,模擬廢水的pH為6.0的條件下,研究了吸附時間對Cr(Ⅵ)η吸附和m吸附的影響。試驗結果如圖3所示。隨著吸附時間的增加,環氧樹脂-腐殖酸復合材料的吸附量先快速增加,當吸附時間達到2 h時,吸附和解吸達到平衡,吸附時間再增加,m吸附變化不大。所以實驗選擇吸附時間為2 h,并認為吸附2 h時,吸附達到平衡,m吸附為0.150 7mg/g。

2.4環氧樹脂-腐殖酸復合材料的紅外光譜分析
圖4為合成的環氧樹脂-腐殖酸復合材料的紅外光譜圖。由圖可見,圖中σ為3 440 cm-1有一很強的尖銳吸收峰,這一吸收峰屬于O-H基的伸縮振動峰;σ為2 920 cm-1和2 860 cm-1的雙峰為飽和CH2的碳氫對稱伸縮振動及反對稱伸縮振動引起的;σ為1 630cm-1的吸收峰為羧酸根離子的特征吸收;σ為1 400cm-1和1 380 cm-1附近的吸收峰為苯環和芳雜環的吸收峰。環氧樹脂-腐殖酸復合材料的分子結構反映了其高吸附特性。

3·結論
1)隨著環氧樹脂含量的增加,環氧樹脂-腐殖酸復合材料對Cr(Ⅵ)的吸附能力先增加后降低,當w(環氧樹脂)為60%時,吸附率最大達到76%。
2)環氧樹脂-腐殖酸復合材料對Cr(Ⅵ)的吸附能力隨時間的增加而增加,并在2 h之后達到飽和,飽和吸附量為0.1 507 mg/g;環氧樹脂-腐殖酸復合材料對Cr(Ⅵ)的吸附能力隨著pH的升高而增加。
3)環氧樹脂-腐殖酸復合材料的紅外光譜圖表明,該分子結構具有羥基、羰基等活性吸附基團。










魯ICP備2021047099號