SMC/BMC用不飽和聚酯樹脂的生產
SMC/BMC用不飽和聚酯樹脂采取定反應釜進行生產
對該類樹脂最好選定反應釜進行生產,從反應釜的設計施工角度,相同的設計施工,反應釜的性能應該是一樣的,但是在實際的樹脂生產中,反映出來不飽和聚酯的合成中,粘度-酸值匹配性不盡相同,甚至存在明顯的差異。
針對上述情況,同一模壓樹脂的配方和工藝對應不同的反應釜,采用不同的粘度-酸值曲線,達到樹脂相近的效果。確保樹脂批次之間的穩定性。
SMC/BMC用不飽和聚酯樹脂的排產特點
生產普通樹脂的反應釜,在生產高品位的模壓樹脂時,最好插入低品位的模壓樹脂進行轉換。
SMC/BMC用不飽和聚酯樹脂的包裝特點
反應釜在生產模壓樹脂之前,生產的是普通樹脂,在模壓樹脂放料時,最好將前200Kg的模壓樹脂單獨處理。
特別是高品位的模壓樹脂,若非連續生產,前200Kg的樹脂必須單獨處理。
SMC/BMC用不飽和聚酯樹脂的系列來源
主要的模壓樹脂系列和SMC/BMC方案來源于 歐美和日本
國內開發的一部分替代型模壓樹脂和SMC/BMC方案
不飽和聚酯樹脂簡易設計小程序



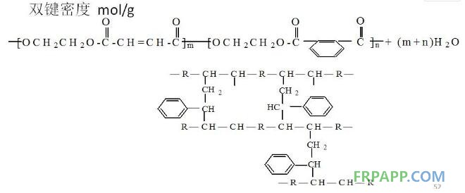
聚酯平均單分子雙鍵密度(單分子 順酐密度)
聚酯交聯點間的平均分子量M
聚酯交聯點間的平均碳氧位數
聚酯單分子 丙二醇密度











魯ICP備2021047099號